\
Changzhou Koye Chemical Co.,Ltd.

CHANGZHOU KOYE CHEMICAL CO.,LTD.

Salt Of Organic Phosphates
Product Categories

ATMP.Na4

Product name Tetra Sodium Salt of Amino Trimethylene Phosphonic Acid
CAS NO. 20592-85-2
Content 29.4-32.4% (as acid)
Molecular Formula

C3H8NO9P3Na4 

 

Molecular weight 387
Appearance Colorless or light yellow transparent liquid
Product Grade Industrial
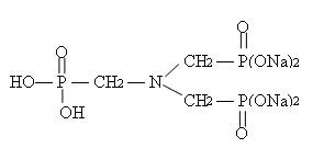
Structural Formula ATMP.Na4
Description & Application ATMPNa4 is the neutral sodium salt of ATMP, can prevent the water into scale salts to form scale, especially the formation of calcium carbonate scale. ATMP, Na4 is suitable for circulating cooling water of thermal power plant, refinery, oil field water injection system, reverse osmosis membrane scale inhibitor. ATMP, Na4 for some other additive also has good compatibility. ATMPNa4 especially suitable for the neutral to acid formula, generating ammonia smell.
Specification

Active content(as acid)%: 29.4-32.4

Active content(as salt)%: 38.0-42.0

 Iron,(as Fe2+),mg/l :≤35

PH(1% solution): 6.5-7.5

Density(20℃) g/cm3 : 1.35 – 1.45

Appearance: Colorless or light yellow transparent liquid

Package 200L Drum, 1000L IBC or Bulk. Stored in cool and dry place.
Shelf Life 10 months
Copyright(C)2019 , Changzhou Koye Chemical Co.,Ltd. All Rights Reserved. Supported by ChinaChemNet ChemNet Toocle Copyright Notice 备案序号:苏ICP备12055371号 

GO
TOP