\
Changzhou Koye Chemical Co.,Ltd.

CHANGZHOU KOYE CHEMICAL CO.,LTD.

Salt Of Organic Phosphates
Product Categories

EDTMPS.Na5

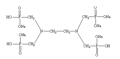
Product name (Ethylene-dinitrilo)-tetramethylene Phpsphonic Acid Na Salts
CAS NO. 7651-99-2
Content 24-26% (as acid)
EINECS NO. 231-615-4
Molecular Formula

C6H15O12N2P4Na

Molecular weight 546.13
Appearance Clear colorless to pale yellow liquid
Product Grade Industrial
Structural Formula EDTMPS.Na5
Description & Application Phosphonic acid salt diversity, the cathode type corrosion inhibitor. Can mix with water soluble, non-toxic pollution-free, chemical stability and good temperature resistance, under 200 ℃ still has good scale inhibition effect. In aqueous solution can be dissociated into 8 positive and negative ions, thus it can be with multiple chelate metal ions, formation of macromolecular network structure complex, multiple monomers loosely dispersed in water, make the normal crystallization of calcium scale. EDTMP sodium salt of calcium sulphate, barium sulfate scale of scale inhibition effect is good.
Specification

Active salt content %: 30-35

Active acid content %: 24-26

Chloride (as Cl-)%: ≤5 

Iron, µg/g,ppm: ≤20

PH(1% solution): 6.0-8.0

Density(20℃) g/cm3 : 1.20 – 1.30

Appearance: Clear colorless to pale yellow liquid

Package 200L Drum, 1000L IBC or Bulk. Stored in cool and dry place.
Shelf Life 1 year
Copyright(C)2019 , Changzhou Koye Chemical Co.,Ltd. All Rights Reserved. Supported by ChinaChemNet ChemNet Toocle Copyright Notice 备案序号:苏ICP备12055371号 

GO
TOP