\
Changzhou Koye Chemical Co.,Ltd.

CHANGZHOU KOYE CHEMICAL CO.,LTD.

Polycarboxylic Acid
Product Categories

AA/AMPS

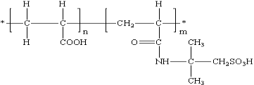
Product name Acrylic Acid-2-Acrylamido-2-Methylpropane Sulfonic Acid Copolymer
CAS NO. 40623-75-4
Content 43%Min
Appearance Colorless or slight yellow viscous liquid
Product Grade Industrial
Structural Formula AA/AMPS
Description & Application AA/AMPS can be used as scale inhibitor and dispersant in open circulating cool water system, oilfield refill water system, metallurgy system and iron & steel plants to prevent sediment of ferric oxide. When built with organophosphorines and zinc salt, the suitable pH value is 7.0~9.5. AA/AMPS can also be used as dyeing auxiliaries for textile.
Safety Protection Acidity, avoid contact with eye and skin, once contacted, flush with water.
Specification

Solid content % : ≥43

Free Monomer(as AA) %: ≤0.8%

PH(1% solution): 3.5-4.5

Density(20℃) g/cm3 : ≥1.15

Appearance:Colorless or slight yellow viscous liquid

Package 25KG or 250KG net plastic drum. Stored in cool and dry place.
Shelf Life 10 months
Copyright(C)2019 , Changzhou Koye Chemical Co.,Ltd. All Rights Reserved. Supported by ChinaChemNet ChemNet Toocle Copyright Notice 备案序号:苏ICP备12055371号 

GO
TOP