\
Changzhou Koye Chemical Co.,Ltd.

CHANGZHOU KOYE CHEMICAL CO.,LTD.

Biocide & fungicide
Product Categories

BCDMH

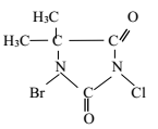
Product name 1-Bromo-3-chloro-5,5-dimethylhydantoin
CAS NO. 16079-88-2
Content 98%Min
UN NO. 3085
Appearance Powder;granule;tablet
Product Grade Industrial
Structural Formula BCDMH
Description & Application It is bright white powder,slightly dissolved in water but dissolved in many organic solvents,can be further machined to granules and tablets.stable when dry and easy to decompose when moistened. It is a new-generation disinfect agent of oxidized from, has the joint disinfectant advantages of bromine and chlorine,with high stabilization,light odor,slow released,effecting for long time,and can be widely used: 1:sterilization for swimming pools 2:sterilization for industrial circulating cooling water 3:sterilization for aquaculture and veterinary medicine 4:sterilization for environments of hotel,hospital and other public places.
Specification

Apperance: Powder;granule;tablet

Actives(assay BCDMH%): 98 Min

Avaliable Bromine%: 60-65

Avaliable Chlorine%: 28-34

Loss on drying%: 2Max

Package 50KG plastic drum. Stored in cool and dry place.
Shelf Life 2 years.
Copyright(C)2019 , Changzhou Koye Chemical Co.,Ltd. All Rights Reserved. Supported by ChinaChemNet ChemNet Toocle Copyright Notice 备案序号:苏ICP备12055371号 

GO
TOP