\
Changzhou Koye Chemical Co.,Ltd.

CHANGZHOU KOYE CHEMICAL CO.,LTD.

Textile & Leather
Product Categories

Sodium Gluconate

Product name Sodium Gluconate
CAS NO. 527-07-1
Content 98%Min
EINECS NO. 208-407-7
Molecular Formula

C6H11NaO7

Molecular weight 448.3963
Appearance White to yellowish crystal power
Product Grade Industrial
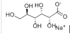
Structural Formula Sodium Gluconate
Description & Application Chelate for cement: fixed amount of sodium gluconate in cement, then make the concrete strong and random. It can be delay the first time and the last time for solidity. For medicine industry: adjust the body acid-base balance to restore the normal nerve. For the same purpose apply to food additives Cleaning agent for steel surface: the steel surface must be exacting cleaning before plate Bo, Cr, Sn, Ni, then it can be integrated well. Now the sodium gluconate play a very important effect. Special cleaning agent for glass bottle: main ingredient is sodium gluconate, this cleaning agent can improve those problems: can’t remove dirt directly. Block the nozzle and the pipeline. Residue after washing is not ideal edible security, after wash water caused public nuisance. For panting and film industry For food industry: produce additive prevent low sodium
Specification

Purity  (%): 98.0Min

Loss on drying % : 0.5Max

Reducing substances %: 0.7Max

Heavy metal (pb) μg /g: 10Max

Sulfate %: 0.05Max

Chloride %:0.07Max

Lead μg /g:2Max

Arsenic μg /g:2Max

PH :6.2-7.8

Appearance: White to yellowish crystal power

Package 25kg/bag.Stored in cool and dry place.
Shelf Life 1 year.
Copyright(C)2019 , Changzhou Koye Chemical Co.,Ltd. All Rights Reserved. Supported by ChinaChemNet ChemNet Toocle Copyright Notice 备案序号:苏ICP备12055371号 

GO
TOP