\
Changzhou Koye Chemical Co.,Ltd.

CHANGZHOU KOYE CHEMICAL CO.,LTD.

Salt Of Organic Phosphates
Product Categories

DETPMP•Na7

Product name Diethylenetriamine Penta(methylene Phosphonic Acid) Heptasaodium Salt
CAS NO. 22042-96-2
Content 24.0-26.0% (as acid)
Molecular Formula

C9H21O15N3P5Na7

Appearance Umber transparent liquid
Product Grade Industrial
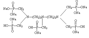
Structural Formula DETPMP•Na7
Description & Application DETPMP•Na7 is a scale inhibitor, for barium sulphate in particular and a chelating agent.DTPMP•Na7 can be used as stabilizer for peroxide bleaching, detergent auxiliaries, in industrial & municipal cleaning water, terrestrial heat water, oilfield water, etc.
Safety Protection Acidity, avoid contact with eye and skin, once contacted, flush with water.
Specification

Appearance:Umber transparent liquid

Active Content as Acid :24.0-26.0%

Active Content as salt :30.5-33.0%

Iron(ppm) :20 max

Chlorides (as Cl) :≤5.0%

PH Value (1% water solution) :7.0-9.0

Density( 20 3), g/cm3 :1.25-1.35

Calcium sequestation mgcaco3/g :≥240mg/g

Total phosphorous acid(as po4) :≥19.0%

Phosphorous acid (as po3) :≤5.0%

Package 200L plastic drum, IBC(1000L), customers' requirement. Storage for six months in shady room and dry place.
Shelf Life 1 year
Copyright(C)2019 , Changzhou Koye Chemical Co.,Ltd. All Rights Reserved. Supported by ChinaChemNet ChemNet Toocle Copyright Notice 备案序号:苏ICP备12055371号 

GO
TOP