Changzhou Koye Chemical Co.,Ltd.

常州科益化工有限公司

聚羧酸系列阻垢缓蚀剂
产品分类

AA/AMPS

品 名 丙烯酸-2-丙烯酰胺-2-甲基丙磺酸共聚物 AA/AMPS
CAS NO. 40623-75-4
含 量 43%
产品等级 工业级
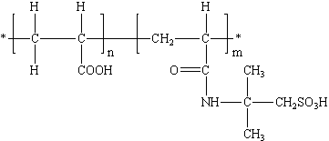
结构式 AA/AMPS
产品应用 AA/AMPS主要用作敞开式工业循环冷却水系统、油田污水回注系统、冶金系统循环水处理的阻垢分散,钢铁厂淋洗的冷却水防止Fe2O3粘泥沉积,AA/AMPS可与有机磷酸盐、锌盐复合使用,适于PH条件为7.0~9.5。
AA/AMPS还可用作纺织印染助剂。
理化性质

固体含量 % : ≥43

游离单体(以丙烯酸计) %:≤0.8%

pH值(1% 水溶液): 3.5-4.5

密度(20℃) g/cm3 : ≥1.15

外观:无色至淡黄色粘稠液体

包 装 250公斤/塑料桶
保质期 1年
常州科益化工有限公司 版权所有(C)2019 网络支持 中国化工网 生意宝 网盛大宗 著作权声明 备案序号:苏ICP备12055371号 

返回
顶部