Changzhou Koye Chemical Co.,Ltd.

常州科益化工有限公司

有机膦酸系列阻垢缓蚀剂
产品分类

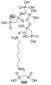
己二胺四甲叉膦酸钾盐

品 名 己二胺四甲叉膦酸钾盐
CAS NO. 38820-59-6; 53473-28-2
含 量 21.2-24.6%
EINECS NO. 254-135-7;258-575-0
分子式

C10H20K6N2O12P4

分子量 718.7579
外 观 无色至淡黄色透明液体
产品等级 工业级
结构式 己二胺四甲叉膦酸钾盐
产品应用 HDTMPA•K6具有很高的溶解度,可阻止水中成垢盐类形成水垢,是良好的硫酸钙阻垢剂,尤其适用高碱高pH条件。HDTMPA•K6特别适应于锅炉水处理、反渗透膜的处理。
安全保护 酸性,避免接触眼睛和皮肤,一旦接触,用水冲洗。
理化性质

活性组分 (以酸计)% : 21.2-24.6

活性组分 (以盐计)% : 31.0-36.0

磷酸(以PO33-计) %:≤2.0

磷酸(以PO43-计)%:  ≥16

氯化物(as Cl-) %: ≤4

pH值(1% 水溶液): 6.0-8.0

铁(以Fe2+计),ppm:: ≤35

密度(20℃) g/cm3 : 1.21 – 1.31

外观:无色至淡黄色透明液体

包 装 200升桶或1000L的IBC。存放于阴凉干燥处。
保质期 1年
常州科益化工有限公司 版权所有(C)2019 网络支持 中国化工网 生意宝 网盛大宗 著作权声明 备案序号:苏ICP备12055371号 

返回
顶部