Changzhou Koye Chemical Co.,Ltd.

常州科益化工有限公司

有机膦酸盐系列阻垢缓蚀剂
产品分类

氨基三甲叉膦酸四钠

品 名 氨基三甲叉膦酸四钠
CAS NO. 20592-85-2
含 量 29.4-32.4%
分子式

C3H8NO9P3Na4 

分子量 387
外 观 无色至淡黄色透明液体
产品等级 工业级
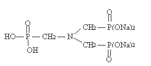
结构式 氨基三甲叉膦酸四钠
产品应用 ATMP钠盐是ATMP的中性钠盐,能防止水进入垢盐形成垢,特别是碳酸钙垢的形成。适用于火力发电厂、炼油厂、油田注水系统、反渗透膜阻垢剂的循环冷却水。
ATMP、Na4等添加剂也具有良好的相容性。
ATMP、Na4特别适合中性至酸性的配方,产生氨味。
理化性质

活性含量 (以酸计)%:29.4-32.4

活性含量 (以盐计)%:38.0-42.0

 铁,(AS Fe2+),Mg/L :≤35

pH值(1% 水溶液): 6.5-7.5

密度(20℃) g/cm3 : 1.35 – 1.45

外观: 无色至淡黄色透明液体

包 装 200升桶或1000L的IBC。存放于阴凉干燥处。
保质期 10个月
常州科益化工有限公司 版权所有(C)2019 网络支持 中国化工网 生意宝 网盛大宗 著作权声明 备案序号:苏ICP备12055371号 

返回
顶部