Changzhou Koye Chemical Co.,Ltd.

常州科益化工有限公司

有机膦酸盐系列阻垢缓蚀剂
产品分类

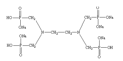
乙二胺四甲叉膦酸五钠盐

品 名 乙二胺四甲叉膦酸五钠盐
CAS NO. 7651-99-2
含 量 30-35%
EINECS NO. 231-615-4
分子式

C6H15O12N2P4Na

分子量 546.13
外 观 无色透明至淡黄色液体
产品等级 工业级
结构式 乙二胺四甲叉膦酸五钠盐
产品应用 膦酸盐多样性,阴极型缓蚀剂。可与水溶性物料混合,无毒无污染,化学稳定性好,耐温性好,200℃下仍具有良好的阻垢效果。在水溶液中可分解成8种正负离子,从而可与多种螯合金属离子形成高分子网络结构复合物,多种单体松散地分散于水中,使钙垢正常结晶。EDTMP钠盐对硫酸钙、硫酸钡的阻垢效果较好。
理化性质

活性含量 (以盐计), %:30-35

活性含量 (以酸计) ,%:24-26

氯离子 (as Cl-)%: ≤5 

铁 µg/g,ppm≤20

pH值(1% 水溶液): 6.0-8.0

密度(20℃) g/cm3 : 1.20 – 1.30

外观: 无色透明至淡黄色液体

包 装 200升桶或1000L的IBC。存放于阴凉干燥处。
保质期 1年
常州科益化工有限公司 版权所有(C)2019 网络支持 中国化工网 生意宝 网盛大宗 著作权声明 备案序号:苏ICP备12055371号 

返回
顶部