Changzhou Koye Chemical Co.,Ltd.

常州科益化工有限公司

杀菌剂
产品分类

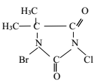
1-溴-3-氯-5,5-二甲基海因

品 名 1-溴-3-氯-5,5-二甲基海因
CAS NO. 16079-88-2
含 量 98%min
UN NO. 3085
分子式

C5H6O2N2BrCL

分子量 241.49
外 观 粉末;颗粒;片剂
产品等级 工业级
结构式 1-溴-3-氯-5,5-二甲基海因
产品应用 本品为粉末/片剂/颗粒,微溶于水,溶于多种有机溶剂,可进一步加工成颗粒和片剂,干燥时稳定,润湿时易分解。
它是新一代氧化消毒剂,具有溴、氯联合消毒的优点,稳定性高,气味轻,释放缓慢,作用时间长,可广泛使用:
1.游泳池消毒
2.工业循环冷却水消毒
3.水产养殖和兽医领域的杀菌消毒
4、宾馆、医院等公共场所环境的消毒
安全保护 酸性,避免接触眼睛和皮肤,一旦接触,用水冲洗。
理化性质

外观:亮白色粉末

活性物质(测定BCDMH%):98min

有效溴含量(%):60-65

有效氯含量(%):28-34

干燥失重(%):2max

包 装 800KG 袋装
保质期 2年
常州科益化工有限公司 版权所有(C)2019 网络支持 中国化工网 生意宝 网盛大宗 著作权声明 备案序号:苏ICP备12055371号 

返回
顶部